GLOSSARY A-B-C-D-E-F-G-H-I-J-K-L-M-N-O-P-Q-R-S-T-U-V-W-X-Y-Z
| Deutsch | Peptidbindung |
| English | Peptide bond |
| Beschreibung 1 |
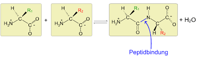
Ist die Atomgruppe, die bei der Kondensationsreaktion zwischen Carboxylgruppe einer Aminosäure mit der Aminogruppe einer anderen Aminosäure unter Abstaltung von Wasser entsteht. |
| Beschreibung 2 |
Bindung zwischen Aminosäureresten in einem Protein; erfolgt zwischen der Carboxylgruppe der einen Aminosäure und der Aminogruppe der anderen Aminosäure (–CO–NH-) unter Abspaltung von Wassermolekülen |
| Extra Info | |
|---|---|
| Bild |
|